









SULBUTIAMINE 30ML LIQUID (100MG/ML, 3000MG BOTTLE)
$19.99
Sulbutiamine is sold for laboratory research use only. Terms of sale apply. Not for human consumption, nor medical, veterinary, or household uses. Please familiarize yourself with our Terms & Conditions prior to ordering.

Also Available In:
- Description
- Additional information
Description
Sulbutiamine Nootropic Liquid
![]()

| CAS Number | 3286-46-2 |
| Other Names | Bisibutiamin, Arcalion, Bisibutiamine, Sulbutiamina, Sulbutiaminum, Bisibuthiamine, Vitaberin, O-Isobutyroylthiamine disulfide |
| IUPAC Name | [(E)-4-[(4-amino-2-methylpyrimidin-5-yl)methyl-formylamino]-3-[[(E)-2-[(4-amino-2-methylpyrimidin-5-yl)methyl-formylamino]-5-(2-methylpropanoyloxy)pent-2-en-3-yl]disulfanyl]pent-3-enyl] 2-methylpropanoate |
| Molecular Formula | C₃₂H₄₆N₈O₆S₂ |
| Molecular Weight | 702.9 |
| Purity | ≥99% Pure (LC-MS) |
| Liquid Availability | |
| Powder Availability | |
| Gel Availability | N/A |
| Storage | Store in cool dry environment, away from direct sunlight. |
| Terms | All products are for laboratory developmental research USE ONLY. Products are not for human consumption. |
What is Sulbutiamine?
Sulbutiamine is a synthetically developed compound composed of two thiamine molecules, bound together by sulfur. Sulbutiamine is known for its fat solubility as the lipophilicity of the compound allows it to be easily transported into the brain from systemic circulation due to its ability to cross the blood brain barrier. This increased bioavailability of the nootropic allows for onset of benefits and effects at a faster rate and potency than a single thiamine molecule. Current research regarding treatment with sulbutiamine focuses on the neuroprotective effects elicited by the compound related to onset of ischemia, diabetic neuropathy, and glutamatergic and dopaminergic transmission.
Read More...Main Research Findings
1) Treatment with sulbutiamine has been shown to improve diabetic neuropathy in animal models by regulating PKC/TLR-4/NF-kB signaling.
2) Sulbutiamine treatment has the potential to elicit neuroprotective effects against oxygen-glucose deprivation in hippocampal CA1 pyramidal neurons.
Selected Data
1) The research team of Ghaiad et al examined the effects of sulbutiamine on the progression of diabetic neuropathy in rats with induced diabetes. For the purpose of this study, 7-9 week old Wistar albino rats were utilized. The animals were allowed to acclimatize to the laboratory space for 2 weeks while they were housed 4 rats to a cage and maintained under standard laboratory conditions with ad libitum access to food and water. All animals were randomly divided into four different experimental groups including: a control group; a group that received an intraperitoneal injection of citric acid buffer followed by oral administration of PBS for 8 weeks in order to evaluate baseline values of the experimental parameters; a group orally administered 60 mg/kg of sulbutiamine for 8 weeks; and a group that received a single intraperitoneal injection of STZ after 1 hour of fasting [1].
72 hours after STZ injection was delivered, the fasting blood glucose levels were assessed. Blood glucose levels below 250 mg/dl were excluded while animals with blood glucose levels above 250 mg/dl were randomly divided into diabetic control groups and sulbutiamine-treated groups. The animals included in the sulbutiamine-treated group were orally administered 60 mg/kg of body weight suspended in PBS, for 8 weeks. The dose was given to the animals every day at 10 a.m. Following the experimental period body weight measurements were obtained while blood was collected from the retro-orbital plexus. Blood samples were separated through centrifugation and the separated aliquots of serum were stored for further analysis of urea, creatinine, and Kim-1 levels. The animals were then euthanized and their kidneys were dissected and weighed in order for further evaluation of various histological and biochemical parameters as well as immunohistological assays [1].
The blood biochemical assessments included a blood glucose measurement and serum kidney function tests. In order to measure blood glucose, blood was collected via tail vein puncture and passed through a GlucoDr Super sensor glucometer to estimate glucose levels. For kidney function testing, creatinine and urea assay kits were used to assess quantitative colorimetric determination of urea and creatinine levels in serum. Additionally, a Kim-1 ELISA kit was used to determine levels of serum kidney injury molecule 1 (Kim-1). Additionally, several renal biochemical assessments were performed by dissecting kidney tissue from rats included in different experimental groups. The samples were washed with saline and homogenized in a buffer containing sucrose, EDTA, and Tris-HCl. The homogenate were then centrifuged and the supernatant was used to estimate levels of renal malondialdehyde (MDA) and NF-kB using ELISA assay kits. In a similar manner to MDA and NF-kB levels, protein kinase C and TLR-4 concentrations in kidney homogenates were quantified [1].
After biochemical assessments were completed the research team performed histopathological examination. Kidney samples were fixed in 10% neutral buffered formalin, followed by processing in different grades of alcohol, and finally embedded in paraffin wax. Sliced sections were then stained with hematoxylin and eosin prior to light microscopy. Additional kidney sections were stained with PRS to assess for fibrosis through the samples. Histopathological changes were quantified by scoring inflammation on a scale of 0 to 4; scores were defined as follows: 0 = absent, 1 = mild focal, 2 = moderate focal, 3 = moderate multifocal, and 4 = severe and diffuse. Renal tubular damage was also scored on a 0 to 4 scale; scores were defined as follows: 0 = absent, 1 = mild degeneration, 2 = moderate degeneration, 3 = marked focal necrosis, and 4 = severe diffuse necrosis. Finally, renal fibroplasia was scored on a 0 to 4 scale; scores were defined as follows: 0 = absent, 1 = mild fibroplasia, 2 = moderate focal, 3 = marked local fibrosis, and 4 = severe diffuse fibrosis [1].
Kidney sections were then immunostained after being cut into adhesive slides. The slides were re-hydrated and incubated with the following antibodies: Mouse anti- IL-1, anti- TNF-alpha, and TGF-beta. Incubation took place for 12 hours followed by washing to TBH and hydrogen peroxide to block for endogenous peroxidases. HRP-labelled anti-mouse antibody and color development and detection via DAB-substrate kid were added to the slides next. Primary antibodies were then deleted in order to obtain negative control slides that were then examined using a BX43 light microscope and digital camera to quantify positive expression [1].
2) The research team of Kwag et al completed TO-PRO-3 iodide staining and electrophysiological recordings on hippocampal CA1 pyramidal cells in order to evaluate the effects of sulbutiamine on oxygen-glucose deprivation. For the purpose of this study Wistar rats postnatal day 14-40 were anesthetized with isoflurane and decapitated. The researchers noted that rodents are born with their eyes closed and that eye opening has an effect on maturation and brain circuitry. That being said, only rats that had opened their eyes after birth were included in this study. Following euthanasia the brain was dissected and horizontal hippocampal slices were obtained by preparing ice-cold cerebrospinal fluid containing NaCL, KCl, NaH2PO4, MgSO4, CaCl2 NaHCO3, and glucose [2].
The hippocampal slices were maintained in the cerebrospinal fluid and submerged in a holding chamber for 60 minutes prior to individual transferring into a recording chamber. In order to achieve oxygen and glucose deprivation, d-glucose was substituted with equi-molar sucrose in a standard medium of cerebrospinal fluid. Oxygen deprivation was achieved by bubbling the d-glucose-deficient cerebrospinal fluid with 95% N2 and 5% CO2 in order to deplete the oxygen content in the cerebrospinal fluid. Throughout the processes of oxygen and glucose deprivation the pH of the cerebrospinal fluid was maintained at 7.3-7.4 in order to match the control cerebrospinal fluid solution [2].
Following oxygen-glucose deprivation, TO-PRO-3 staining took place. TO-PRO-3 is a fluorescent DNA-binding probe that acts as a marker for cellular viability and cell death. The hippocampal slices collected by the research team were exposed to oxygen-glucose deprivation for 10 minutes in order to test the effects of treatment with 50 uM of sulbutiamine. This concentration was used considering that previous research has determined that 50 uM of sulbutiamine elicits the most significant neuroprotective effects from oxidative stress.
Electrophysiologic data was then collected by obtaining whole-cell patch-pipette recordings of hippocampal CA1 pyramidal neurons. These recordings were gathered under visual guidance by infrared differential interference contrast microscopy. Excitatory postsynaptic potentials were extracellularly stimulated by placing the stimulating electrode in the stratum radiatum of the CA1 region of the hippocampal cells. EPSPs were recorded for 5 minutes followed by exposure to oxygen-glucose deprivation for 5 minutes by replacing the superfusate to sucrose-based oxygen-depleted cerebrospinal fluid. A hyperpolarizing current pulse was delivered to measure input resistance while a depolarizing current pulse was delivered to evoke action potentials and test the excitability of the neuron [2].
Discussion
1) The results of the study conducted by the research team of Ghaiad et al reported that when treated with a single dose of STZ, both body weight and fasting blood glucose levels were changed. When compared to normal control groups and groups treated with sulbutiamine, blood glucose levels were found to have increased following injection of STZ. When the test subjects were treated with sulbutiamine there was a significant reduction in fasting blood glucose levels compared to the group of rats with induced diabetes. In terms of body weight, treatment with STZ was shown to decrease body weight in the diabetic control group compared to the normal control group of rats. The sulbutiamine treated group of test subjects experienced an insignificant increase in body weight compared to the untreated group of subjects [1].
When looking at the effects of sulbutiamine on relative kidney weight in rats administered a dose of STZ, there was an increase in kidney weight in the diabetic-induced rats compared to control rats. When STZ was intraperitoneally administered to the animals, relative kidney weight nearly doubled in comparison to the animals in the control group and those treated with sulbutiamine. In the animals treated with sulbutiamine there was a notable decline in relative kidney weight when compared to the group of animals with induced diabetes [1].

Figure 1: Changes in A) fasting blood glucose levels, B) body weight, C) kidney weight, and D) relative kidney weight in animals with induced diabetes, following treatment with sulbutiamine.
When looking at the results of the various biochemical assessments performed by the research team, the diabetic control group experienced increased levels of serum urea, serum creatine, and Kim-1 by 1.9-fold, 2-fold, and 4-fold, respectively. That being said, when the diabetic-induced rats were treated with sulbutiamine, there was a significant reduction in serum urea by 39% and serum creatinine by 53%, in comparison to the diabetic control group of animals. In addition to creatinine and urea, Kim-1 levels were found to decrease by 55% when the test subjects were treated with sulbutiamine, in comparison to the diabetic control group. Furthermore, renal MDA content was found to increase by 3-fold in the diabetic control group in comparison to the normal control group and the group treated with sulbutiamine. These levels decreased by 52% when the animals were treated with sulbutiamine [1].

Figure 2: Changes in A) serum urea, B) serum creatinine, c) serum Kim-1, and D) renal MDA levels in test subjects with induced diabetes following treatment with sulbutiamine.
Treatment with sulbutiamine was then evaluated to determine its effects on NF-kB/TLR-4 pathways in rats injected with STZ. STZ administration resulted in a 4-fold increase in both NF-kB and TLR-4 levels in the kidneys compared to the normal control group and the sulbutiamine control groups. In the animals treated with sulbutiamine there was a 55% reduction in NF-kB and TLR-4 levels compared to animals with induced diabetes. Additionally, the researchers assessed effects of sulbutiamine treatment on renal PKC levels. The diabetic control group of rats experienced a 4.6-fold increase in PKC levels compared to the normal control group and sulbutiamine control group. However, when treated with sulbutiamine, the animals experienced a 62% decrease in PKC levels in comparison to diabetic control rats [1].


Figure 3: Changes in NF-kB, TLR-4, and PKC levels in diabetic rats following treatment with sulbutiamine
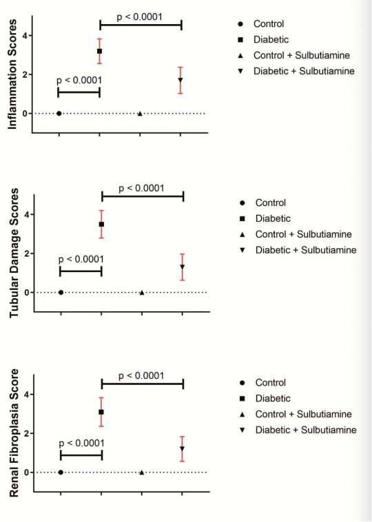
When looking at the effects of sulbutiamine on renal histopathological parameters, the research team reported that there were no histopathological changes detected in the control groups, while the sulbutiamine control group exhibited normal kidney functioning. In the diabetic control group, there was evidence of alternation in the renal cortex and medulla, as well as renal tubular degeneration and necrosis with presence of protein casts. Additionally, in the kidney sections obtained from diabetic test subjects mononuclear inflammatory cell infiltrations were identified in the renal cortex and medulla as well as renal fibroplasia with cystic dilation noted in the renal tubules.
When treated with sulbutiamine there was a marked increase in kidney function throughout the collected sections. However, the research team noted that there was very minor degeneration noted in very few of the sections with cystically dilated tubules. The diabetic control group was shown to exhibit increased inflammation, tubular damage, and renal fibroplasia, however, all of these scores were significantly lower when the animals were treated with sulbutiamine. There were also no statistically significant differences between the normal control group and the sulbutiamine control groups. Finally, PSR stained sections were observed to quantify the degree of renal fibrosis. There was an increase in the amount of fibrotic tissue present in the diabetic control group that was shown to reduce following treatment with sulbutiamine [1].

Figure 4: Changes in inflammation scores, tubular damage scores, and renal fibroplasia scores following treatment with sulbutiamine.
Finally, the researchers examined the immunohistochemical expression of TGF-beta 1, TNF-alpha, and IL-1 beta. The diabetic control group was found to experience a 4-fold increase in renal TGF-beta 1 levels in comparison to normal control and sulbutiamine control groups. When treated with sulbutiamine, the group of animals exhibited reduced levels of TGF-beta positive staining in comparison to the diabetic-induced animals. The diabetic animals also experienced elevated renal expression of IL-1 beta when compared to the control groups of rats. This expression was markedly reduced when treated with sulbutiamine in comparison to the diabetic control group of rats. The diabetic group also exhibited higher levels of TNF-alpha expression of more than 10-fold. Administration of sulbutiamine resulted in downregulation in TNF-alpha expression to normal levels when compared to the diabetic control group [1].



Figure 5: Changes in TGF-beta, IL-1 beta, and TNF-alpha expression following treatment with sulbutiamine
2) TO-PRO-3 iodide staining was performed on hippocampal pyramidal neurons under four different conditions including: control, oxygen-glucose deprivation, oxygen-glucose deprivation with sulbutiamine treatment, and oxygen-glucose deprivation with vehicle treatment. Iodide staining density was found to increase by 6.2-fold in the oxygen-glucose deprivation group, 4.1-fold in the oxygen-glucose deprivation and sulbutiamine treatment group, and 6.1-fold in the oxygen-glucose deprivation and vehicle treatment group, in comparison to the control group. When the staining density was compared against the control group there was significantly greater staining density with the oxygen-glucose deprivation and oxygen-glucose deprivation with vehicle treatment groups, while the staining density was far lower in the oxygen-glucose density and sulbutiamine treatment group [2].
When looking at the electrophysiological parameters of the neurons during oxygen-glucose deprivation, the researchers noted that disruption of synaptic transmission was one of the primary characteristics of the neurons while in this state. That being said, the excitatory synaptic transmission of the hippocampal CA1 pyramidal neurons subjected to oxygen-glucose deprivation were assessed through whole-cell current-clamp recording. These recordings revealed that when the hippocampal slices were subjected to oxygen-glucose deprivation the amplitude of the amplitude of the excitatory postsynaptic potentials were reduced until reperfusion with cerebrospinal fluid. 15 minutes after the start of oxygen-glucose deprivation excitatory postsynaptic potentials were normalized; the minimum normalized EPSP amplitude was 12.8 =/- 9.8%. However, when the samples were exposed to 1, 10 and 50 uM of sulbutiamine the minimum normalized EPSP amplitudes after 15 minutes were 25.1 +/- 2.21%, 47.3 +/- 3.11%, and 66.3 +/- 11.0%, respectively [2].
The research team also assessed the effects of sulbutiamine on the intrinsic properties of the neurons, measured by changes in input resistance in oxygen-glucose deprivation in response to treatment with 1, 10, and 50 uM of the nootropic. Input resistance was found to initially decrease when exposed to oxygen-glucose deprivation, however, after 15 minutes the minimum input resistance levels were measured at 71.6 +/- 4.9%. When exposed to 1, 10, and 50 uM of sulbutiamine minimum input resistance levels were measured at 73.3 +/- 2.61%, 87.5 +/- 6.61%, and 100.5 +/- 6.3%, respectively. The researchers noted that while exposure to 10 uM and 50 uM of sulbutiamine led to significant changes from control levels, input resistance was shown to be normalized to control levels following reperfusion with cerebrospinal fluid [2].

Figure 6: Changes in neuron membrane input resistance in hippocampal CA1 pyramidal neurons when treated with sulbutiamine, following exposure to oxygen-glucose deprivation
The last parameter evaluated in this study was related to the effects of sulbutiamine on membrane excitability. Membrane excitability was measured by monitoring the resting membrane potential and the number of spikes evoked by a fixed current. Measurements were obtained before, during, and after exposure to oxygen-glucose deprivation. At the start of the experiment there were no significant changes in resting membrane potentials in the oxygen-glucose deprivation group and the oxygen-glucose deprivation groups treated with 1, 10, or 50 uM of sulbutiamine. The resting membrane potentials for each group were recorded at -64.7 +/- 0.6 mV, -64.8 +/- 0.5 mV, -64.5 +/- 0.3 mV, and -64.3 +/- 1.3 mV, respectively.
15 minutes after induction of oxygen-glucose deprivation and exposure to sulbutiamine, there were significant changes noted in the resting membrane potentials and input resistance. For the oxygen-glucose deprivation group, and the oxygen-glucose deprivation groups treated with 1, 10, or 50 uM of sulbutiamine, the membrane potentials were measured at -66.8 +/- 2.9 mV, -64.6 +/- 1.5 mV, -65.9 +/- 1.5 mV, and -64.0 +/- 1.6 mV, respectively. In a similar manner, at the start of the experiment the spikes in resting membrane potentials were measured at 4.7 +/- 0.2, 4.5 +/- 0.3, 4.6 +/- 0.1, and 4.7 +/- 0.4 for the oxygen-glucose deprivation group, and the oxygen-glucose deprivation groups treated with 1, 10, and 50 uM of sulbutiamine, respectively [2].
When looking at the spikes in resting membrane potentials 15 minutes into the experiment, the membranes were measured at 4.4 +/- 0.4, 4.1 +/- 0.3, 4.33 +/- 0.5, and 4.6 +/- 0.3 for the oxygen-glucose deprivation group, and the oxygen-glucose deprivation groups treated with 1, 10, and 50 uM of sulbutiamine, respectively. These findings indicate that treatment with sulbutiamine does not have a significant effect on resting membrane potential or the excitability of hippocampal CA1 pyramidal neurons when exposed to 5 minutes of oxygen-glucose deprivation [2].

Figure 7: Changes in the transmission of excitatory postsynaptic membrane potentials in hippocampal CA1 pyramidal neurons when treated with sulbutiamine, following exposure to oxygen-glucose deprivation
Disclaimer
**LAB USE ONLY**
*This information is for educational purposes only and does not constitute medical advice. THE PRODUCTS DESCRIBED HEREIN ARE FOR RESEARCH USE ONLY. All clinical research must be conducted with oversight from the appropriate Institutional Review Board (IRB). All preclinical research must be conducted with oversight from the appropriate Institutional Animal Care and Use Committee (IACUC) following the guidelines of the Animal Welfare Act (AWA).
Citations
[1] Ghaiad HR, Ali SO, Al-Mokaddem AK, Abdelmonem M. Regulation of PKC/TLR-4/NF-kB signaling by sulbutiamine improves diabetic nephropathy in rats. Chem Biol Interact. 2023 Aug 25;381:110544. doi: 10.1016/j.cbi.2023.110544. Epub 2023 May 22. PMID: 37224990.
[2] Kwag J, Majid AS, Kang KD. Evidence for neuroprotective effect of sulbutiamine against oxygen-glucose deprivation in rat hippocampal CA1 pyramidal neurons. Biol Pharm Bull. 2011;34(11):1759-64. doi: 10.1248/bpb.34.1759. PMID: 22040892.
What is Sulbutiamine?
Sulbutiamine is a synthetically developed compound composed of two vitamin B1 (thiamine) molecules, bound together by sulfur. Sulbutiamine is known for its fat solubility. The lipophilicity of the compound allows it to easily transport into the brain from systemic circulation at a greater rate and potency than a single thiamine molecule typically would. This observed phenomenon was further supported by the work of Bettendorff et. Al. The researchers examined how plasma thiamine levels would increase in rats when the subjects were administered either thiamine or sulbutiamine. The subjects were administered 52 mg/kg of sulbutiamine and 50 mg/kg of thiamine, daily, for two weeks. Results of the study reported that the rats receiving sulbutiamine exhibited 2.41 times higher levels of total circulating thiamine, thiamine diphosphate, and thiamine monophosphate than the rats being administered thiamine. The primary benefits of sulutiamine include enhanced cognition and improved neuroprotection, decreased fatigue, and the abiliy to effect circadian rhythm.
Effects of Sulbutiamine on Neuroprotection and Memory
Like most nootropic compounds, sulbutiamine has shown the potential to improve neuroprotection and various cognitive functions. A notable study conducted by Kwag et. Al examined the neuroprotective effect sulbutiamine had on hippocampal cells exposed to oxygen/glucose deprivatiohn (OGD). In order to create ischemic conditions in rats, OGD was initially induced alone, followed by combined exposure to both OGD and sulbutiamine. The combination of OGD and sulbutiamine led to a drastic increase in neuron viability, as well as the improvement of various electrophysiological properties. These results allowed the researchers to conclude that sulbutiamine exhibits neuroprotective effects that could combat ischemia-related cell deathm(https://pubmed.ncbi.nlm.nih.gov/22040892/).
Sulbutiamine has also shown potential in its ability to improve memory and retention. One of the first published studies regarding these effects was conducted in 1985 by Micheau et. Al. The researchers orally administered 300 mg/kg of sulbutamine to 14-16 week old mice for 10 days. Any memory improvement was measured by the subjects’ performance on an opertant task. The results reported that there was no significant difference in memory between acquisition groups. However, the mice showed a drastic improvement in retention which led to overall enhanced performance (https://pubmed.ncbi.nlm.nih.gov/4059305/).
A more recent study regarding the effects of sulbutiamine on memory included injecting mice with a sulbutiamine dosage of either 12.5 mg or 25 mg, daily, over the course of 9 weeks. Researchers BIzot et. Al collected baseline data by having the mice complete a DNMTS task prior to treatment. After the initial task was completed the mice began their 9-week treatment period. Following injection of sulbutiamine and a second DNMTS task, results reported that the treatment did not significantly improve memory but did enhance performance during object-recognition tests. Additionally, the researchers administered an NMDA antagonist known to cause amnesia. The placebo group experienced impaired memory while both the 12.5 mg and the 25 mg sulbutiamine groups had little to no memory impairments. The results of this study allowed the researchers to conclude that sulbutiamine is beneficial for both working and episodic memory (https://pubmed.ncbi.nlm.nih.gov/15951087/).
Effects of Sulbutiamine on Fatigue
Another primary benefit of sulbuitamine supplementation is the compounds ability to resolve chronic fatigue. An animal-based study conducted by Tiev et. Al examined how administration of sulbutiamine treats cases of chronic postinfectious fatigue (CPIF). The subjects were split into three groups: one receiving a placebo, one receiving 400 mg of sulbutiamine, and the last receiving 600 mg of sulbutiamine. The compound wad administered daily over a 28 day trial period. Results of the study found that both experimental groups showed significant improvement over the placebo group, however, there was no discernable difference in symptom reduction between the two experimental groups. The researchers concluded that in cases of CPIF, treatment with sulbutiamine can combat high instances of fatigue.
Effects of Sulbutiamine on Sleep
Further benefits of sulbutiamine administration was observed in primates by researchers Balzamo et. Al. When giving the subjects sulbutiamine in doses of 300 mg/kg, daily, for 10 days, the circadian rhythm of the primates showed signs of influence from the large dose of the compound. The researchers reported that administration of sulbutiamine led to increased wakefulness and phase 1 sleep without changing patterns of REM sleep. High levels of phase 1 sleep are important due to its ability to support memory, learning, and retention. Researchers were able to conclude that sulbutiamine shows the potential to regulate these phases of the sleep cycle, however more research should be conducted in order to determine the full effects of sulbutamine on circadian rhythm (https://pubmed.ncbi.nlm.nih.gov/7170385/).
The nootropics sold by Umbrella Labs are sold for laboratory research only. The description above is not medical advice and is for informative purposes only.
Sulbutiamine is sold for laboratory research use only. Terms of sale apply. Not for human consumption, nor medical, veterinary, or household uses. Please familiarize yourself with our Terms & Conditions prior to ordering.


| File Name | View/Download |
| 07-10-2023-Umbrella-Labs-Sulbutiamine-Certificate-Of-Analysis-COA.pdf |
VIEW CERTIFICATES OF ANALYSIS (COA)
Additional information
| Options | 30mL Liquid 100mg/mL 3000mg bottle, 50 Grams Powder, 25 Grams Powder |
|---|








