

S-4 Andarine SARMs Gel 50MG (Packs of 5, 10 or 30)
$16.00 – $86.00Price range: $16.00 through $86.00
S-4 SARM is sold for laboratory research use only. Terms of sale apply. Not for human consumption, nor medical, veterinary, or household uses. Please familiarize yourself with our Terms & Conditions prior to ordering.


*APPLICATION: SARM GEL IS ORAL (NOT TOPICAL)
Also Available In:
Liquid Option >>
Powder Option >>
Capsule Option >>
- Description
- Additional information
Description
S-4 Andarine SARMs Gel
![]()

| CAS Number | 401900-40-1 |
| Other Names | S4, S-4, S 4, Andarine, GTX-007, S-4 cpd, UNII-7UT2HAH49H, 7UT2HAH49H, GTX007, GTx 007, CHEMBL125236 |
| IUPAC Name | (2S)-3-(4-acetamidophenoxy)-2-hydroxy-2-methyl-N-[4-nitro-3-(trifluoromethyl)phenyl]propanamide |
| Molecular Formula | C₁₉H₁₈F₃N₃O₆ |
| Molecular Weight | 441.4 |
| Purity | ≥99% Pure (LC-MS) |
| Material Safety Data Sheet (MSDS) | |
| Application | SARM GEL IS ORAL (NOT TOPICAL) |
| Liquid Availability |
|
| Powder Availability | |
| Gel Availability | |
| Storage | Store in cool dry environment, away from direct sunlight. |
| Terms | All products are for laboratory developmental research USE ONLY. Products are not for human consumption. |
What is S-4?
Andarine, commonly referred to as S-4, acts as a potent selective androgen receptor modulator (SARM); the compound is best known for its ability to promote tissue growth in bones and muscles. In a manner similar to other anabolic agents, S-4 binds to androgen receptors, resulting in the initiation of anabolic activity. However, evidence suggests that SARMs cause fewer instances of adverse side effects, such as excessive prostate growth.
In addition to its ability to promote anabolism, current research is attempting to determine the extent of the anti-cancer effects that are potentially elicited by treatment with S-4.
Main Research Findings
1) By negatively regulating the PI3K/Akt/mTOR signal pathways, S-4 has the potential to elicit potent anticancer activity on hepatocellular cancer cells
2) Orchidectomized rats experienced an enhanced body composition, improved muscle strength, and reduced bone loss following treatment with S-4.
Selected Data
1) The research team of Yavuz et. Al examined the potential of S-4 to elicit anti-cancer effects in hepatocellular carcinoma (HCC) cell lines. The first step of the study was to obtain HCC cells lines from the SK-HEP and HEP-3B stocks. Both cell lines were cultured in Eagle’s minimal essential medium (EMEM), supplementation with 10% heat-activated FBS, and 1% Penicillin/Streptomycin. The medium was replaced every other day while cells were passaged at 80% confluent. In the following assays performed, the research team utilized 0.4% Trypan Blue solution via Thoma chamber to could the sells, while the samples were seeded in 3 replicates for reproducibility purposes.
25 mg of S4 was purchased from Sigma Aldrich and was solubilized in 2.26 ml DMSO in order to produce a 25 mM stock solution which was then aliquoted and stored until further use. Stock S4 was further diluted in a medium in order to collect tested concentrations ranging from 0.0001 mM to 0.4 nM. After S4 treatment cellular viability was investigated through cell proliferation assay. In order to determine cytotoxicity of the SARM, cells were seeding in a 96-well plate in 100 uL of culture medium. The cell plates were incubated for 24 hours then the culture was replaced with varying concentrations of S-4 containing medium. The culture medium was used as a negative control while the medium containing 10% DMSO was used as the positive control. After all cells were properly prepared, an MTT assay was performed while the half-minimal inhibitory concentration values for 24- and 48-hour treatments were calculated [1].
In addition to a cell proliferation and MTT assay, the researchers performed a colony formation assay (CFA) in order to determine the ability of the cells to form colonies following treatment with S-4. The cells were seeded in a 96-well plate in a 100 uL of medium. The cells were incubated for 24 hours before the culture medium was replaced with a medium containing S-4. The S-4-free culture medium was used for a negative control while a 10% DMSO-containing medium was used as the positive control. The medium was replaced every other day and the cells were cultured until the negative control group reached 80% confluency. This was followed by a wound healing assay performed to assess the migration capacity of the cells upon drug administration. Cells were seeded in a 24-well plate in 1 mL of medium. The cells were incubated for 24 hours then the medium was replaced with S-4-containing medium. After an additional 24 hour incubation period, wounds were created on the cells by scratching them with a pipette tip; the scratches were photographed and analyzed following creation of the wound [1].
These tests were followed by a soft agar assay, used in order to determine the tumorigenicity of the cells after treatment with S-4. Culture medium or medium containing S-4 were used for control and treatment groups; the cells were cultured for three weeks and the upper layer was replaced twice a week. At the end of the assy, spheroids were photographed and analyzed using ImageJ software. The next assessment was an Annexin-V assay conducted by seeding cells in a 12-well plate in 1 mL of a medium. The medium was changed to S-4-containing medium after the cell cultures were incubated for 24 hours. Cells were incubated for an additional24 hours followed by harvesting and washing with 1 mL of cold PBS; washed cells were suspended in 100 uL of Annexin-binding buffer followed by n5 uL Alexa Fluor488 dye and 1 uL 100 ug/mL of PI solution. Cells were incubated again for 15 minutes prior to analysis using flow cytometry.
A final EdU assay was conducted in order to detect the rate of cell proliferation. THe cells were seeded in a 96-well plate and incubated for 24 hours. All mediums were then replaced with S-4-containing medium or a culture medium in order to form control and treatment groups. After 24 hours of incubation the cells were incubated again for 2 hours with EdU at a final concentration of 10 uM. Cell cultures were then fixed in 150 uL of 100% methanol for 20 minutes followed by washing with 100 uL PBS containing 3% BSA. 100 uL of saponin-based permeabilization reagent was added to the culture and the cells were incubated for 20 minutes, followed by washing with PBS containing 3% BSA. After these procedures were followed the cells were labeled with Hoechst dye containing 100 uL of PBS followed by fluorescent microscopy in order to efficiently count EdU and Hoechst-positive cells [1].
Finally, a real-time qRT-PCR was conducted using the PI3K/Akt/mTOR gene panels. Cells were seeded to a 6-well plate sustained in 2 mL of medium which was replaced the next day with a medium that did or did contain a 24-hour IC50 S-4 concentration for each cell line. Cells were harvested after 24 hours of incubation followed by the isolation of RNA. Isolated RNA was converted to cDNA so qRT-PCR could be performed using human mTOR signaling RT2 Profiler PCR Array. The researchers thought it was important to know that all experiments were performed at least three times to verify conclusions. Data normality was checked using the Shapiro-Wilk test while the one-way ANOVA and Tukey’s post-hoc analysis was used to assess multi-variable data [1].
2) 12 week old male Sprague-Dawley rats were obtained from Harlan Biosciences and maintained on a strict 12 hour light, 12 hour dark cycle with food and water provided ad libitum. At the beginning of the study the test subjects were orchidectomized (ORX); a group of subjects underwent a sham-operation in order to act as a control group. The animals were randomly distributed into groups of 7 or 8 animals and allowed to recover and remain untreated for 12 weeks post-surgery in order to ensure maximum diminishment of soleus muscle strength and mass. The test subjects were then administered a 3 or 10 mg/kg dose of S-4, 3 mg/kg of DHT, or a vehicle, via subcutaneous injection, over an 8 week experimental treatment period. Throughout the treatment the animals were analyzed by DEXA scans in order to measure changes in bone mineral content (BMC, bone mineral density (BMD), lean mass, and fat mass. In order to avoid error caused by variation between days all mice were analyzed by DEXA technology at the same time [2].
At the end of the 8 week treatment period the animals were weighed and euthanized within 8 hours of the last dose. The soleus muscle of the left hind limb was extracted and analyzed further in order to determine chances in muscle strength. After muscle strength was tested the soleus muscle was frozen and preserved for electrophoretic analysis of MHC isoform expression. The heart was also dissected at the time of euthanasia and preserved to examine the MHC isoform expression in the left ventricle. Additionally, the ventral prostate, seminal vesicles, and levator ani muscle, as well as the soleus muscle from the right leg, were all extracted and weighed. Blood samples were then collected in order to measure levels of IGF-1, osteocalcin, luteinizing hormone (LH), and follicle-stimulating hormone (FSH).
As it was previously mentioned, the soleus muscle was extracted to measure muscle strength in response to androgenic treatment. Following extraction, the muscle and tendons were mounted in an experimental chamber in order for perfusion in oxygenated Krebs-Ringer solution, 137 mm NACl, 5 nM NaHCO3, 1.9 nM KH2PO4, 2 mM CaCl2, 1 mM MgSO4, and 11 mM of glucose, to occur. After the proximal and distal ends of the tendon were fixed, the muscle was stimulated through the use of a Grass S48 stimulator through two platinum field electrodes. Output measurements were recorded using ASI dynamic muscle control [2].
Furthermore, twitch kinetics and amplitude were measured while force responses were collected through stimulation of the muscle at supramaximal voltage while stretching the muscle between stimuli. Once the optimal muscle length was determined, the research team of Gao et. Al were able to measure maximal twitch, tetanic tensions, time to peak twitch tension, and time to one half twitch relaxation. Isometric twitches were elicited at 0.1 Hz; the test subjects experienced 16 continuous twitches that were recorded while one of every three twitches was analyzed. Tetanus was evoked with 3.0-sec trains of stimuli; three tetani were obtained for each muscle and the average of the the three measurements of tetanus amplitude was calculated. These procedures were followed by weighing of the soleus muscle and estimation of the cross-sectional area of the muscle.
In order to examine skeletal and cardiac MHC isoforms, samples of the soleus muscle and left ventricle were collected and homogenized for 5-10 seconds in sample buffer composed of 6 M urea, 2 M thiourea, 0.075 M dithiothreitol, 0.05 M Tris base, and 3% SDS. Homogenized samples were further diluted with sample buffer before they were prepared for analysis. Samples of the soleus muscle were prepared with stacking and separating gels consisting of 4 and 7% acrylamide as well as 5 and 30% glycerol, respectively, prior to the initiation of analysis. Samples of the left ventricular were similarly prepared, with the exception of the separating gel now consisting of 6% acrylamide and 5% glycerol. After analysis the samples were analyzed through the use of a scanning densitometer, provided by Hoefer Scientific. Statistical analysis was performed by single-factor ANOVA [2].
Discussion
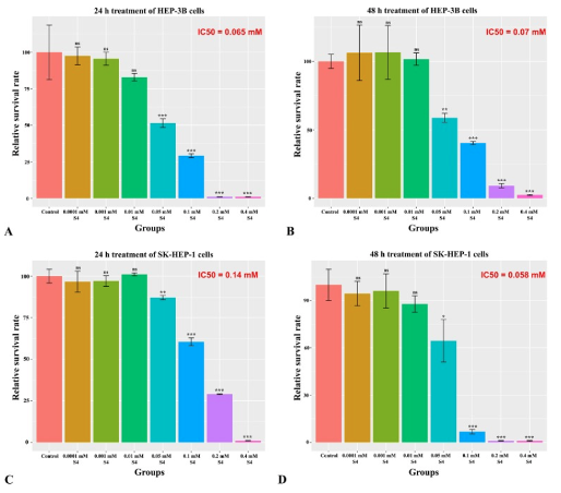
1) MTT assay was the first evaluation performed examining the cytotoxicity of S-4 on HCC cells. When S-4 was administered to HEP3-B cells over a 24 hour time period, cell viability was decreased at all testing concentrations. For concentrations of 0.05 and 0.1 mM viability of HEP-3B cells were found to be 52 and 29%, respectively. When treated with S-4 for 48 hours, HEP3-B cell viability decreased to 58% with a concentration of 0.05 mM and further to 40% with a concentration of 0.1 mM. When treated with 0.2 mM of S-4 only 9% of cells survived while 0% survived following treatment with 0.4 mM of S-4.

Figure 1: MTT assay assessed S-4 cytotoxicity
Similar to the HEP-3B cells, SK-HEP-1 cells were incubated in an S-4-containing medium for either 24 or 48 hours. This process resulted in the significant diminishment in cell viability for S-4 concentration from 0.05 mM to 0.4 mM. The viability of SK-HEP-1 cells was decreased to 87% when 0.05 mM of S-4 was administered. 60% viability was seen with concentrations of 0.1 mM S-4, however, treatment with 0.2 mM S-4 resulted in only 29% viability. Complete toxicity of S-4 on SK-HEP-1 cells was observed after 24 hours of treatment with 0.4 mM S-4. Similar results were reported when the SK-HEP-1 cells were treated with S-4 for 48 hours; the 0.05 mM S4 treatment group experienced a decrease in cell viability to 64%. The 0.1 mM S4 treated reduced viability of SK-HEP-1 cells to 6%. The cells were not viable following administration of S-4 in concentrations of 0.2 and 0.4 mM during the 48 hour incubation period [1].
Additional functional tests were conducted treating HCC cells with S-4. MTT data provided the information needed to determine the S-4 concentration that inhibited half of the cell population (IC50). The IC50 values for 24 hour treatment with S-4 was found to be 0.065 and 0.14 mM for HEP-3B and SK-HEP-1 cells, respectively. The IC50 values for 48 hour treatment with S-4 was found to be 0.070 and 0.058 mM for HEP-3B and SK-HEP-1, respectively.
The effects of S-4 treatment on colony-forming ability of HEP-3B cells were evaluated through the use of 0.025, 0.05, and 0.1 mM of the SARM. HEP-3B colony-forming capacity inhibited the effects of S-5 treatment; the 0.025 mM group experienced a 1.5-fold decrease in HEP-3B colonies. Furthermore, both the 0.05 and 0.01 mM concentrations of S4 resulted in a 6- and 13-fold respective decrease in HEP-3B colony number. Soft agar assay was the next evaluation performed in order to determine the tumorigenicity of SK-HEP-1 cells. The end of the assay found that the control cells formed 78 spheroids measuring 108 um in ferret diameter while S-4 treatment formed 13 spheroids with 1 um feret diameter [1].
A wound healing assay was conducted next in order to measure migration capacity. The assay emphasized the anti-migratory impact of S-4 treatment that occurred 6 hours after 10% of the scratch control cells were closed. Additional data revealed that following an 18 hour incubation period, S-4 treatment led to 7% wound closure. This was compared to the control group that experienced a 1.5-fold decrease in migration capacity in the cells treated with S-4. EdU stainings were completed next in order to evaluate the rate of apoptosis and proliferation. Apoptosis in SK-HEP-1 cells experienced a 1.5-fold increase following treatment with S-4, while a 2.5-fold decrease in proliferation rate was observed. Overall, the researchers were able to conclude that S-4 has a strong anti-carcinogenic impact on HEP-3B cells through the stimulation of apoptosis and decreasing migration capacity and colony-forming ability. Additionally, anti-carcinogenic activity on SK-HEP-1 cells was elicited through the promotion of apoptosis and suppression of migration and proliferation [1].
2) Initial results of the study conducted by Gao et. Al reported that 20 weeks after the rats underwent orchidectomy, the body weight and soleus muscle had significantly decreased in comparison to the intact control animals. Androgenic treatment with either S-4 or DHT led to a slight increase in body and muscle weight in the ORX animals, however, the increase was deemed insignificant. Following ORX, the length at which maximal twitch tension was elicited (L0) was significantly reduced as well, however, S-4 and DHT returned L0 back to the same level as the intact animals. There was no noticeable difference in CSA between the treatment groups. Due to the findings of this study, the research team was able to conclude that diminishment in soleus muscle weight and L0 was likely due to the decrease in animal body size. Additionally, because S-4 and DHT treatment did not significantly increase soleus muscle weight, previous findings regarding the lack of androgen-sensitivity of the soleus were confirmed. This was compared to the levator ani muscle that has been shown to be highly androgen-sensitive; weight of the levator ani decreased by 64% while soleus weight only decreased by 11% after ORX [2].
Peak tetanic tension was measured as the contractile force of the soleus muscle. Androgen treatment with S-4 and DHT did not increase the muscle size but rather led to a significant increase in the peak tetanic tension of the soleus muscle in ORX animals. Following ORX, peak tetanic tension of the soleus decreased from 0.85 n to 0.57 n. When 3 mg/kg of S-4 and 3 mg/kg of DHT were administered, peak tetanic tension increased to 0.86 n and 0.95 n, respectively. 10 mg/kg of S-4 increased peak tetanic tension to 1.02 n, which was higher than the intact animals.

Figure 2: Changes in peak tetanic tension in response to various treatments
Tetanus and twitch parameters did not differ significantly among ORX, S-4, and DHT treatment groups. Only higher doses (10 mg/kg and up) of S-4 increases peak twitch tension in ORX animals. Overall, the initial results found that ORX decreased the body weight, soleus muscle weight, L0 and peak tetanic tension in rats. S-4 and DHT increased strength of the soleus muscle (P0) of ORX animals compared to intact animals. While androgen treatments also showed potential in increasing soleus muscle mass in ORX animals, however, the change was not significant [2].
The next portion of the study examined how S-4 and DHT restored androgen-dependent tissues followed by androgen deprivation induced by orchidectomy. The animals were left untreated to ensure proper atrophy which resulted in the prostate seminal vesicles, and levator ani muscle decreasing to 3.6, 6.7, and 41.4%, respectively, of the intact animals. The weight of the prostate and seminal vesicles doubled after treatment with DHT while S-4 restored the weight of the levator ani but not the prostate and seminal vesicles to less than 20% of the intact control groups. Increasing doses of S-4 continued to increase weight of the levator ani and elicited stronger androgenic effects in the prostate and seminal vesicles. This demonstrated that S-4 can restore androgen-dependent tissue after androgen depletion [2].

Figure 3: weight of the prostate seminal vesicles, and levator ani in response to different treatments
The research team measured plasma levels of IGF-1 and osteocalcin as these compounds are typically used as markers of anabolic activity and bone turnover rate. IGF-1 levels in ORX animals 20 weeks after surgery did not significantly differ from IGF-1 levels in intact animals. S-4 did not lead to any dramatic changes in IGF-1 levels while DHT decreased IGF-1 concentration to approximately 70% of the level observed in intact animals. In terms of osteocalcin, plasma levels were not drastically different between intact and ORX test subjects, 20 weeks after orchiectomy. 8 weeks of treatment with 3 or 10 mg/kg of S-4 or 3 mg/kg of DHT in ORX levels led to a decrease in plasma osteocalcin levels in 70% and 50%, respectively, of the intact animals. This suggests decreased bone breakdown in ORX animals in response to androgenic treatment [2].

Figure 4: Plasma IGF-1 and osteocalcin levels in response to different treatments
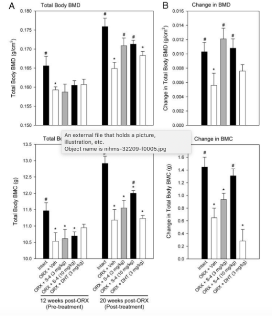
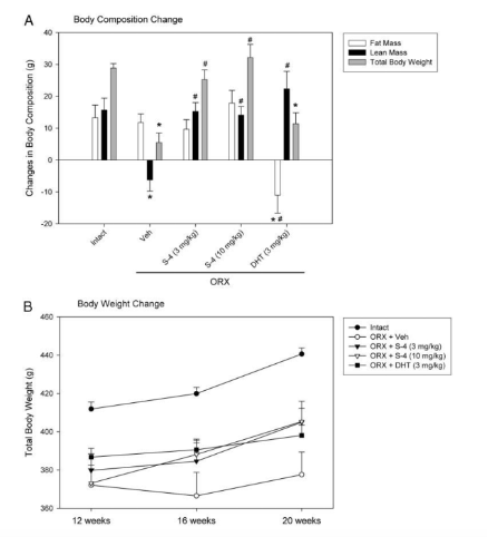
DEXA scans were used to record the effects of DHT and S-4 on muscle and body tissues. BMD and BMC were significantly lower than the intact animals following orchidectomy. The animals were then treated with a vehicle, 3 or 10 mg/kg of S-4, or 3 mg/kg of DHT for 8 weeks. BMD and BMC in vehicle-treated intact animals increase by 1.45 and 12.92 grams, respectively, while ORX animals experienced increases in BMD and BMC by 0.65 and 11.18 grams, respectively. There were no dramatic differences in weight among the ORX groups, however, S-4-treated ORX animals experienced an increase in BMD compared to vehicle-treated ORX animals. The increase in BMD was similar to the intact animals. The 10 mg/kg dose of S-4 also led to a significant increase in BMC in a manner similar to intact animals, measuring at 12.00 grams. DHT led to increased BMD and BMC, however, the test subjects did not exhibit changes as significant as the group treated with both doses of S-4. Additionally, the test subjects did not experience any significant weight changes, but out of all groups the S-4 treated ORX animals gained more weight than the ORX animals treated with a vehicle. S-4 did not decrease fat mass either, but treatment did restore body composition to a manner similar to intact animals [2]

Figure 5: changes in total body BMD and BMC in response to different treatments.

Figure 6: changes in body composition in response to different treatments
Finally, the researchers attempted to explain why muscle strength increased but muscle size did not in response to androgen treatment. SDS-PAGE analysis was used to examine the expression of MHC isoforms in soleus and cardiac muscle samples. In the soleus muscle sample, two isoforms were detected: MHC-I and MHC-IIa. MHC-I accounted for more than 85% of the total MHC expressed. Seven out of eight samples in ORX animals expressed MHC-IIa where only two of the seven samples in intact animals expressed MHC-IIa. Because there was no significant differences between the treatment groups, the slow-to-fast shift observed in ORX animals did not account for muscle strength
In terms of cardiac muscle, the two main MHC isoforms expressed with MHC-alpha and MHC-beta. MHC-alpha accounted for 65% of total MHC expressed in intact animals, however MHC-alpha expression decreased to 44% in ORX animals. 3 mg/kg of S-4 restored MHC-alpha expression to 57% in ORX animals. While both S-4 and DHT restored MHC-alpha expression significantly, expression did not reach the same levels as intact animals. The beta-to-alpha shift in cardiac muscle is regulated by androgens and is related to androgen function in the heart. However, the increase in muscle strength induced by androgen treatment was not related to the slow-to-fast shift in the soleus muscle [2].

Figure 7: Expression of cardiac MHC alpha and beta isoforms in response to different treatment
Disclaimer
**LAB USE ONLY**
*This information is for educational purposes only and does not constitute medical advice. THE PRODUCTS DESCRIBED HEREIN ARE FOR RESEARCH USE ONLY. All clinical research must be conducted with oversight from the appropriate Institutional Review Board (IRB). All preclinical research must be conducted with oversight from the appropriate Institutional Animal Care and Use Committee (IACUC) following the guidelines of the Animal Welfare Act (AWA).
Citations
[1] Yavuz M, Takanlou LS, Avcı ÇB, Demircan T. A selective androgen receptor modulator, S4, displays robust anti-cancer activity on hepatocellular cancer cells by negatively regulating PI3K/AKT/mTOR signalling pathway. Gene. 2023 Jun 15;869:147390. doi: 10.1016/j.gene.2023.147390. Epub 2023 Mar 27. PMID: 36990257.
[2] Gao W, Reiser PJ, Coss CC, Phelps MA, Kearbey JD, Miller DD, Dalton JT. Selective androgen receptor modulator treatment improves muscle strength and body composition and prevents bone loss in orchidectomized rats. Endocrinology. 2005 Nov;146(11):4887-97. doi: 10.1210/en.2005-0572. Epub 2005 Aug 11. PMID: 16099859; PMCID: PMC2039881.
S-4 SARM is sold for laboratory research use only. Terms of sale apply. Not for human consumption, nor medical, veterinary, or household uses. Please familiarize yourself with our Terms & Conditions prior to ordering.


| File Name | View/Download |
| 2024-11-22-Umbrella-Labs-S-4-Andarine-Certificate-Of-Analysis-COA.pdf |
VIEW CERTIFICATES OF ANALYSIS (COA)
Additional information
| Packs | Packs of 5, Packs of 10, Packs of 30 |
|---|









